x tends to infinity সংক্রান্ত
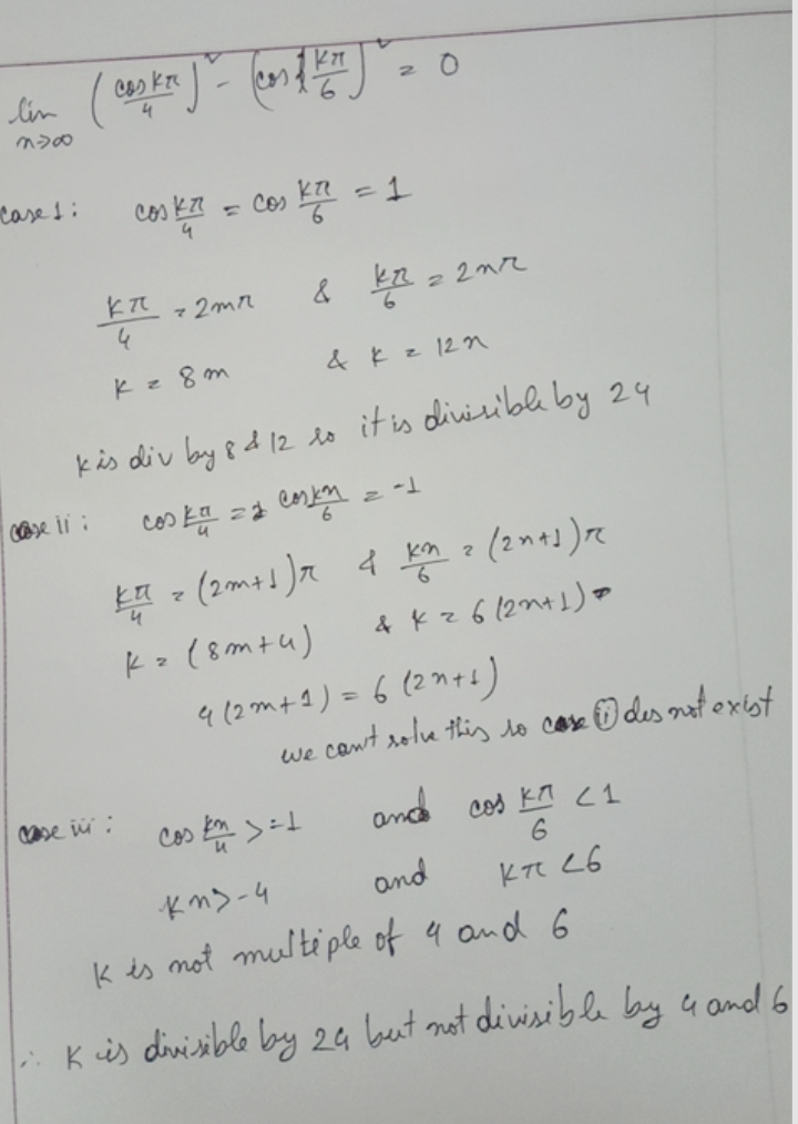
If kkk is an integer such that limn→∞[(coskπ4)2−(coskπ6)2]=0\lim_{n \rightarrow \infty} \left[\left(\cos \dfrac{k\pi}{4}\right)^{2}-\left(\cos \dfrac{k\pi}{6}\right)^{2}\right]=0limn→∞[(cos4kπ)2−(cos6kπ)2]=0 then :
kkk is divisible neither by 444 nor by 888.
kkk must be divisible by 121212 but not necessarily by 242424.
kkk must be divisible by 242424.
either kkk is divisible by 242424 or kkk is neither divisible by 444 nor by 666.
Ai এর মাধ্যমে
১০ লক্ষ+ প্রশ্ন ডাটাবেজ
প্র্যাকটিস এর মাধ্যমে নিজেকে তৈরি করে ফেলো
উত্তর দিবে তোমার বই থেকে ও তোমার মত করে।
সারা দেশের শিক্ষার্থীদের মধ্যে নিজের অবস্থান যাচাই
The values of limn→∞n5+24−n2+13n4+25−n3+12\displaystyle\lim_{n\rightarrow \infty}\dfrac{\sqrt[4]{n^5+2}-\sqrt[3]{n^2+1}}{\sqrt[5]{n^4+2}-\sqrt[2]{n^3+1}}n→∞lim5n4+2−2n3+14n5+2−3n2+1 is?
The value of limx→∞x(x{ln(x)−ln(x+1)}+1)\displaystyle\lim_{x\rightarrow \infty}x(x\{ln (x)-ln (x+1)\}+1)x→∞limx(x{ln(x)−ln(x+1)}+1) is?
If f(x)=13(f(x+1)+5f(x+2))f(x) = \dfrac {1}{3}\left (f (x + 1) + \dfrac {5}{f(x + 2)}\right )f(x)=31(f(x+1)+f(x+2)5) and f(x)>0f(x) > 0f(x)>0 for all xϵRx \epsilon RxϵR, then limx→∞f(x)\displaystyle \lim_{x\rightarrow \infty} f(x)x→∞limf(x) is
Let f:(π2,π2)→R,f(x)={limn→∞(tanx)2n+x2sin2x+(tanx)2n;x≠01;x=0,n∈N f:\left(\frac{\pi}{2}, \frac{\pi}{2}\right) \rightarrow R, f(x)=\left\{\begin{array}{cc}\lim _{n \rightarrow \infty} \frac{(\tan x)^{2 n}+x^{2}}{\sin ^{2} x+(\tan x)^{2 n}} ; & x \neq 0 \\ 1 ; & x=0\end{array}, n \in N\right. f:(2π,2π)→R,f(x)={limn→∞sin2x+(tanx)2n(tanx)2n+x2;1;x=0x=0,n∈N. Which of the following holds good?