স্পর্শক ও অভিলম্ব বিষয়ক
নিচের তথ্যের আলোকে প্রশ্নটির উত্তর দাওঃ
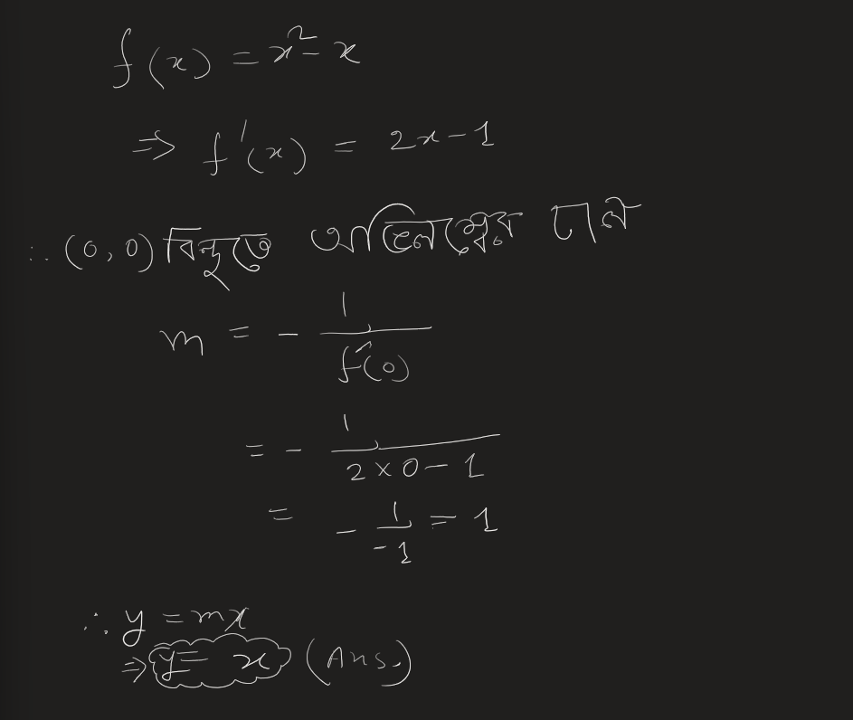
ফাংশনটির মূল বিন্দুতে অভিলম্বের সমীকরণ কোনটি?

Ai এর মাধ্যমে
১০ লক্ষ+ প্রশ্ন ডাটাবেজ
প্র্যাকটিস এর মাধ্যমে নিজেকে তৈরি করে ফেলো
উত্তর দিবে তোমার বই থেকে ও তোমার মত করে।
সারা দেশের শিক্ষার্থীদের মধ্যে নিজের অবস্থান যাচাই
No related questions found