কোণ ও দিক নির্ণয়
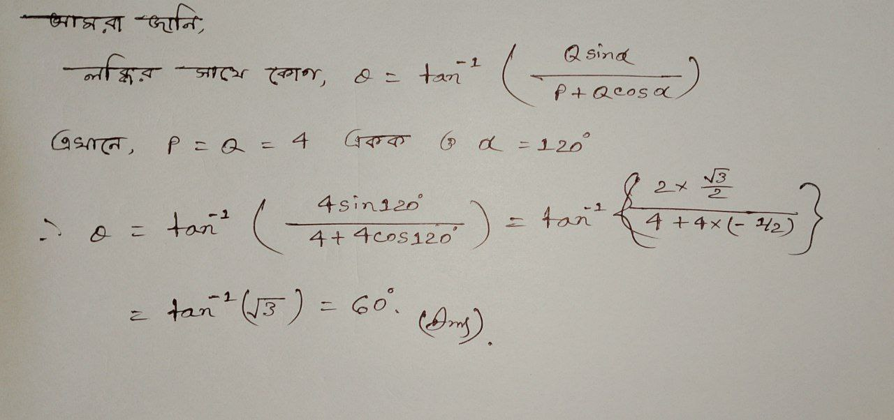
দুটি দিক রাশির প্রত্যেকটির মান 4 একক। এরা যে কোনো বিন্দুতে পরস্পরের সাথে 120° কোণে ক্রিয়াশীল থাকলে এক্ষেত্রে কোনো একটি ভেক্টরের সাথে লব্ধির কোণ কত হবে?

[সমান সমান ভেক্টর যদি 120 কোণে ক্রিয়া করে তবে লব্ধি উক্ত কোণকে সমদ্বিখন্ডিত করে]
Ai এর মাধ্যমে
১০ লক্ষ+ প্রশ্ন ডাটাবেজ
প্র্যাকটিস এর মাধ্যমে নিজেকে তৈরি করে ফেলো
উত্তর দিবে তোমার বই থেকে ও তোমার মত করে।
সারা দেশের শিক্ষার্থীদের মধ্যে নিজের অবস্থান যাচাই
No related questions found