গ্যাসের অণুর মৌলিক স্বীকার্যসমূহ ও গ্যাসের গতিতত্ত
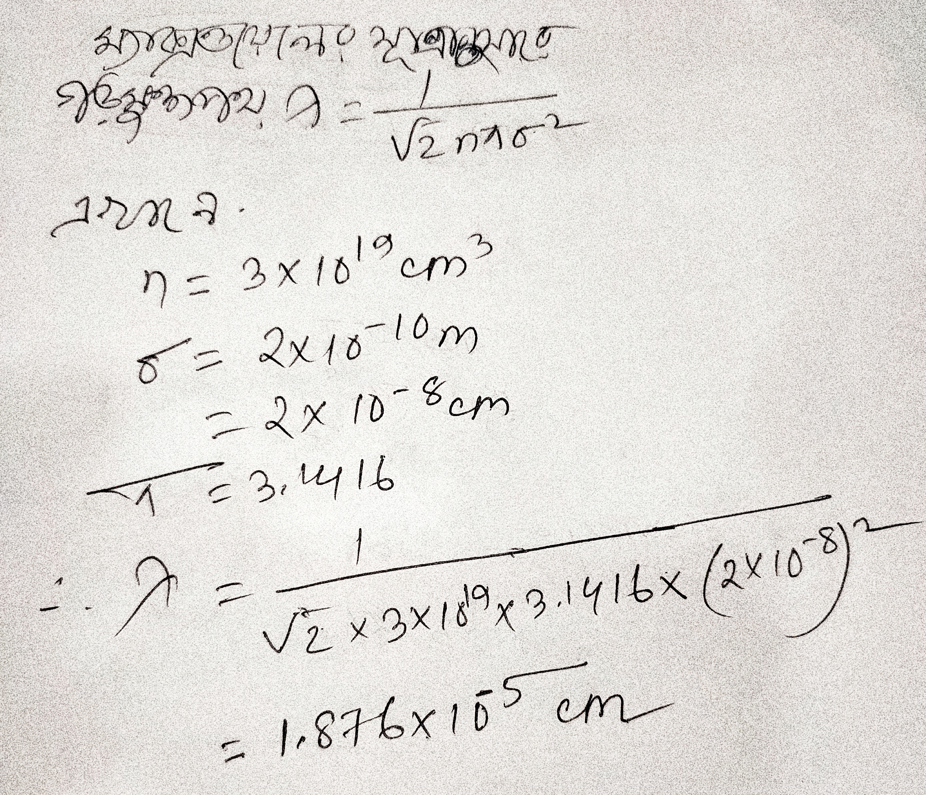
একটি গ্যাস অনুর ব্যাস 2×10 -10 m এবং প্রতি ঘন সেন্টিমিটারের অনুর সংখ্যা 3×1019 হলে গ্যাস অনুর গড় মুক্ত পথ হবে-

Ai এর মাধ্যমে
১০ লক্ষ+ প্রশ্ন ডাটাবেজ
প্র্যাকটিস এর মাধ্যমে নিজেকে তৈরি করে ফেলো
উত্তর দিবে তোমার বই থেকে ও তোমার মত করে।
সারা দেশের শিক্ষার্থীদের মধ্যে নিজের অবস্থান যাচাই
গ্যাসের গতিতত্ত্ব অনুসারে গ্যাস অণুগুলোর মধ্যে কোনো আন্তঃআণবিক আকর্ষণ বল নেই। সুতরাং অণুগুলোর -
কোন একটি হ্রদের তলদেশ হতে একটি বায়ু বুদূবুদ পানির উপরিপৃষ্ঠে আসলে এর আয়তন দ্বিগুণ হয়। বায়ুর চাপ হলে হ্রদের গভীরতা কত?
প্রতি ঘন সেন্টিমিটারে অনুর সংখ্যা নির্ণয় করো, যদি কোন একটি গ্যাসের অণুগুলোর গড় মুক্ত পথ 2.4×10-6 cm এবং আণবিক ব্যাস 2×10-8 cm এর সমান হয়।
গ্যাসের মৌলিক স্বীকার্য অনুসারে-
একটি গ্যাসের সকল অণু সদৃশ
গ্যাসের শক্তি বিভবশক্তি
তাপমাত্রার সাথে অণুগুলোর বেগ বাড়ে
নিচের কোনটি সঠিক?