৩.৭ জারন সংখ্যা , জারন ক্ষমতা , জারণ বিজারণ অর্ধ বিক্রিয়া , জারন সংখ্যার সাহায্যে রাসায়নিক সমতা
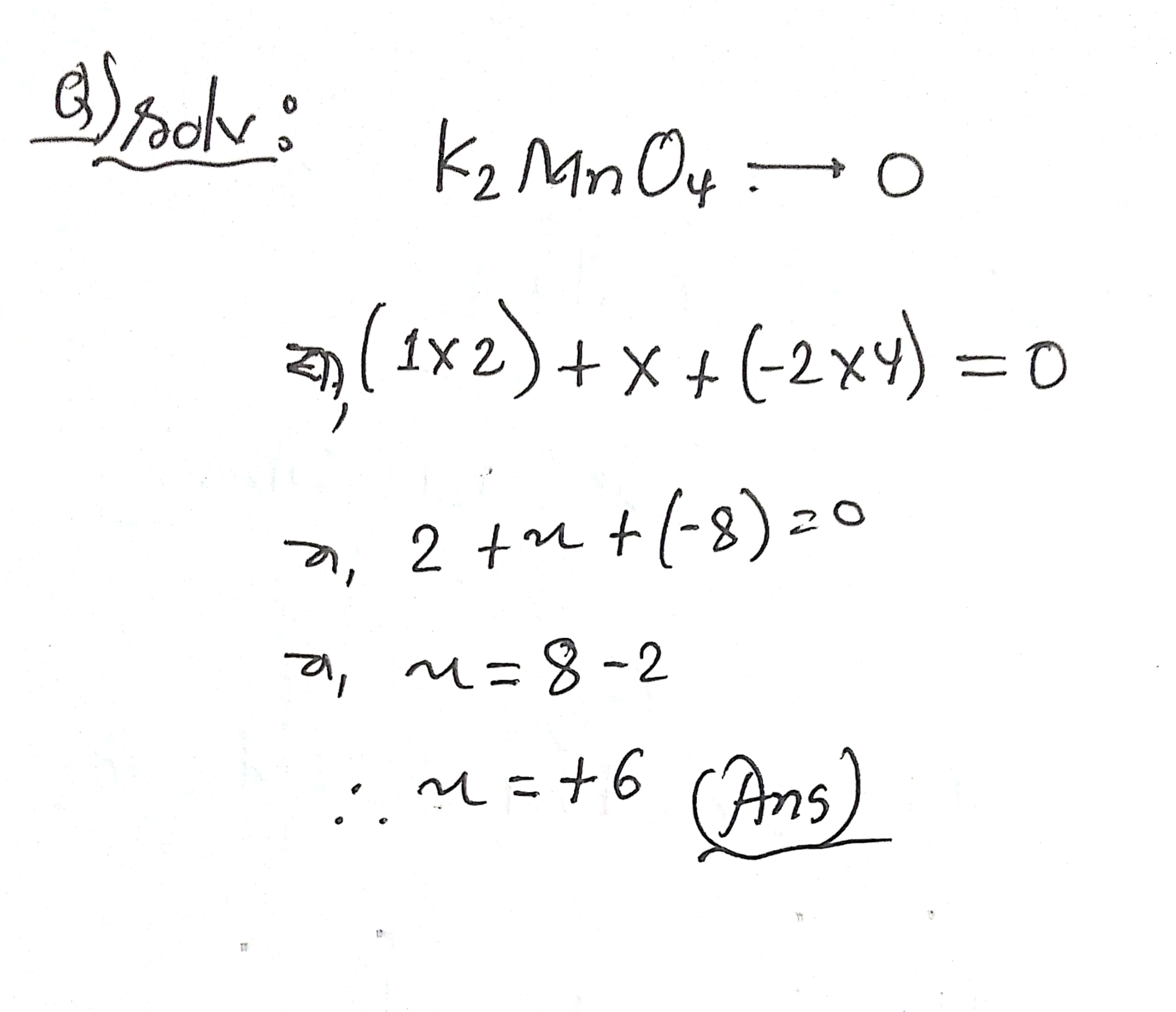
এর জারণ মান কত?
Mn এর জারণ মান =+6.

Ai এর মাধ্যমে
১০ লক্ষ+ প্রশ্ন ডাটাবেজ
প্র্যাকটিস এর মাধ্যমে নিজেকে তৈরি করে ফেলো
উত্তর দিবে তোমার বই থেকে ও তোমার মত করে।
সারা দেশের শিক্ষার্থীদের মধ্যে নিজের অবস্থান যাচাই