সাধারণ মূল সংক্রান্ত
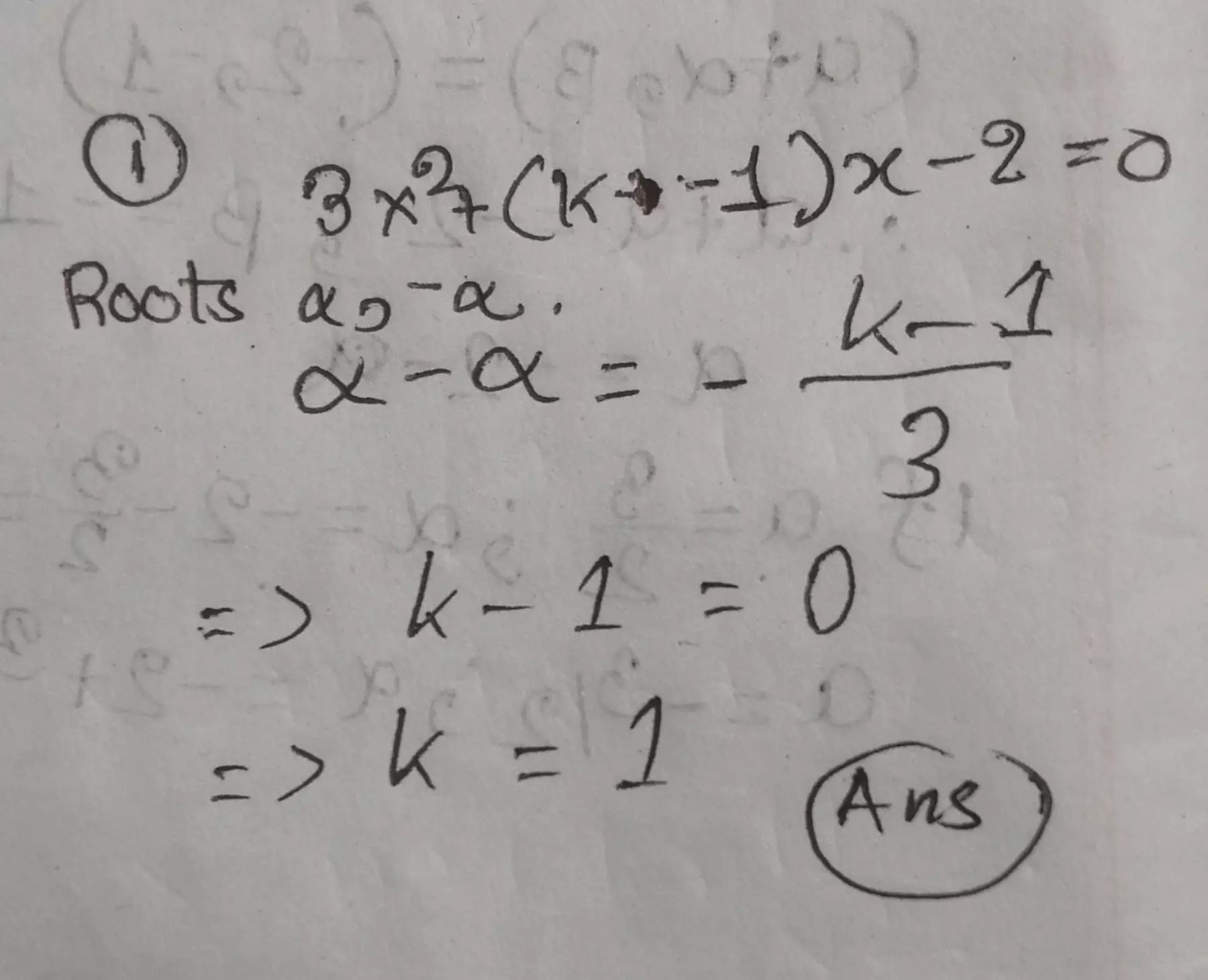
for what value of k the roots of the equation 3x2+(k-1)x-2=0 are equal and opposite ?

Ai এর মাধ্যমে
১০ লক্ষ+ প্রশ্ন ডাটাবেজ
প্র্যাকটিস এর মাধ্যমে নিজেকে তৈরি করে ফেলো
উত্তর দিবে তোমার বই থেকে ও তোমার মত করে।
সারা দেশের শিক্ষার্থীদের মধ্যে নিজের অবস্থান যাচাই
একটি দ্বিঘাত সমীকরণের একটি মূল, অপর মূলের 3 গুণ। সমীকরণটি হলে k এর মান নির্ণয় কর-
সমীকরণের মূল দুইটির যোগফল 5 হলে এর মান -
যদি এবং সমীকরণ দুইটির একটি সাধারণ মূল থাকে, তাহলে নিচের কোনটি সঠিক?
If two roots of the equation x² + bx + a = 0 are equal and one root of the equation x²+ax+8=0 is 4. The value of b will be:-