৪.৭ redox বিক্রিয়া, কোষ বিভব ও প্রমাণ কোষ বিভব
উদ্দীপকের ক্ষেত্রে সঠিক তথ্য—
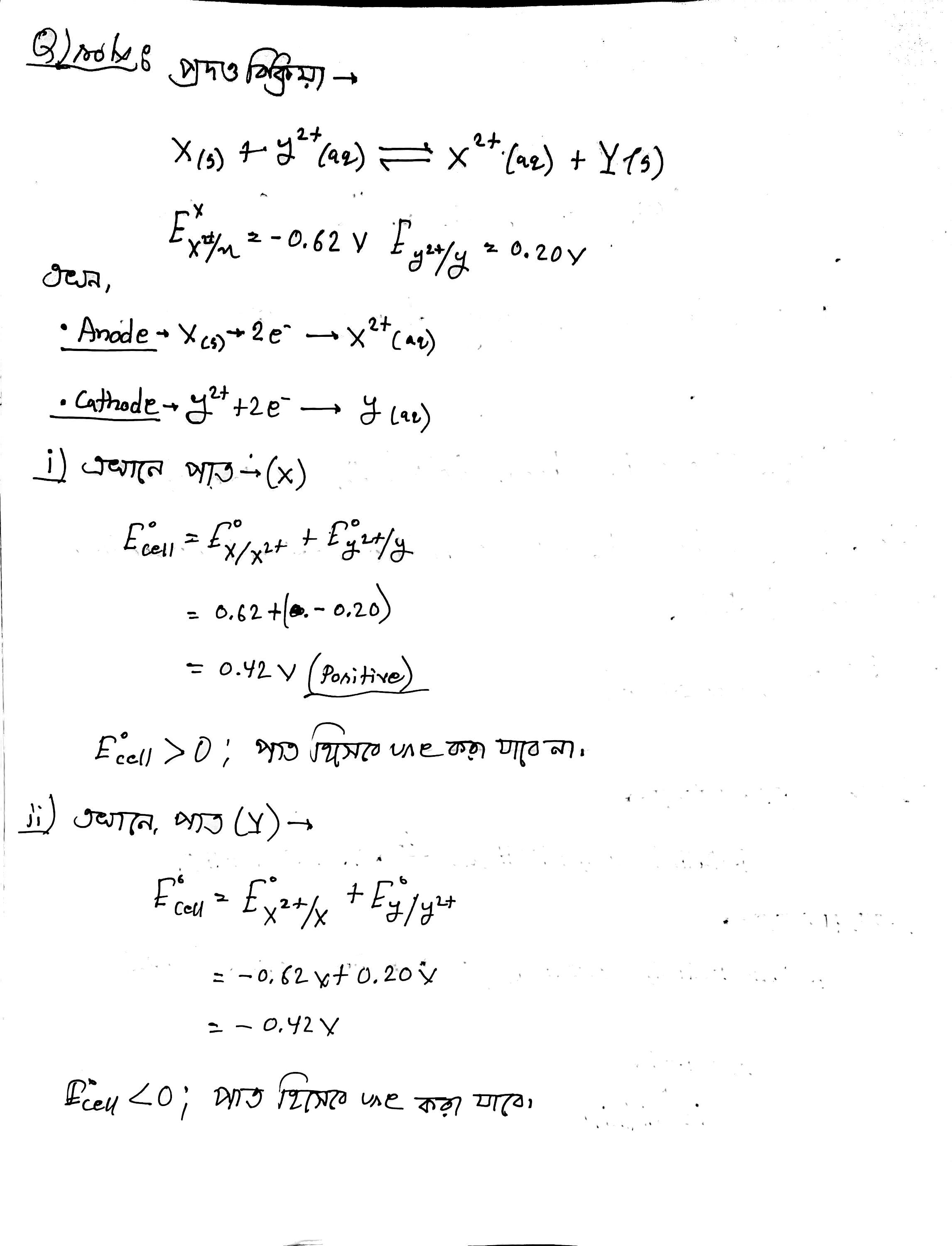
i. x পাত্রে দ্রবণ রাখা যাবে না
ii. y পাত্রে দ্রবণ রাখা যাবে
iii. কোষ বিক্রিয়া স্বতঃস্ফূর্তভাবে ঘটবে না
নিচের কোনটি সঠিক?
iii এর ক্ষেত্রে, ১ নং এর ক্ষেত্রে সঠিক দুই নয় এর ক্ষেত্রে সঠিক নয়।
Ai এর মাধ্যমে
১০ লক্ষ+ প্রশ্ন ডাটাবেজ
প্র্যাকটিস এর মাধ্যমে নিজেকে তৈরি করে ফেলো
উত্তর দিবে তোমার বই থেকে ও তোমার মত করে।
সারা দেশের শিক্ষার্থীদের মধ্যে নিজের অবস্থান যাচাই