মুক্তিবেগ
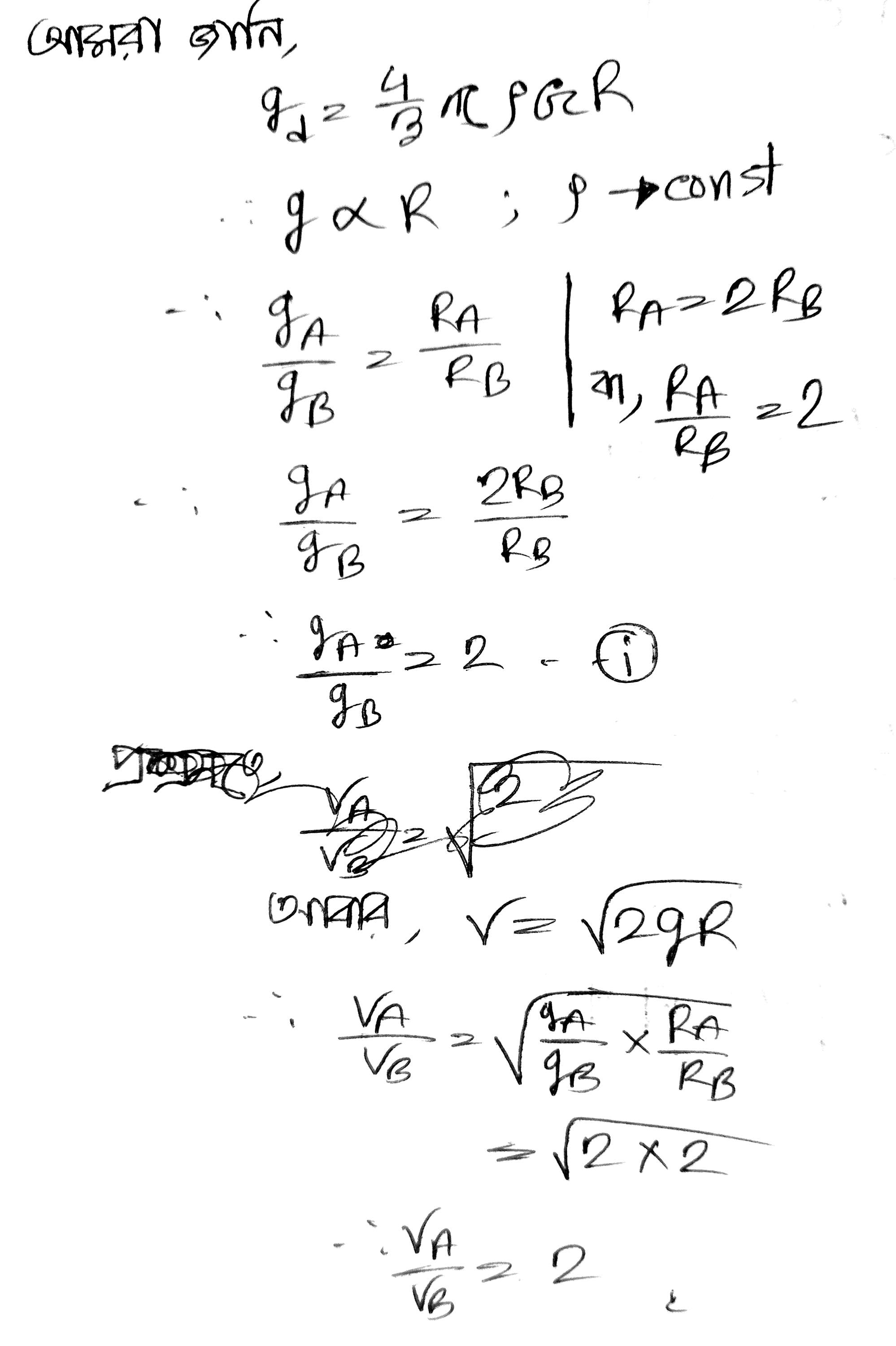
A এবং B দুটি গ্রহের পদার্থের ঘনত্ব সমান । A এর ব্যাসার্ধ B এর ব্যাসার্ধের দ্বিগুণ হলে, তাদের মুক্তিবেগের অনুপাত হবে

Ai এর মাধ্যমে
১০ লক্ষ+ প্রশ্ন ডাটাবেজ
প্র্যাকটিস এর মাধ্যমে নিজেকে তৈরি করে ফেলো
উত্তর দিবে তোমার বই থেকে ও তোমার মত করে।
সারা দেশের শিক্ষার্থীদের মধ্যে নিজের অবস্থান যাচাই