ভর ক্রিয়া সূত্র, Kc,Kp
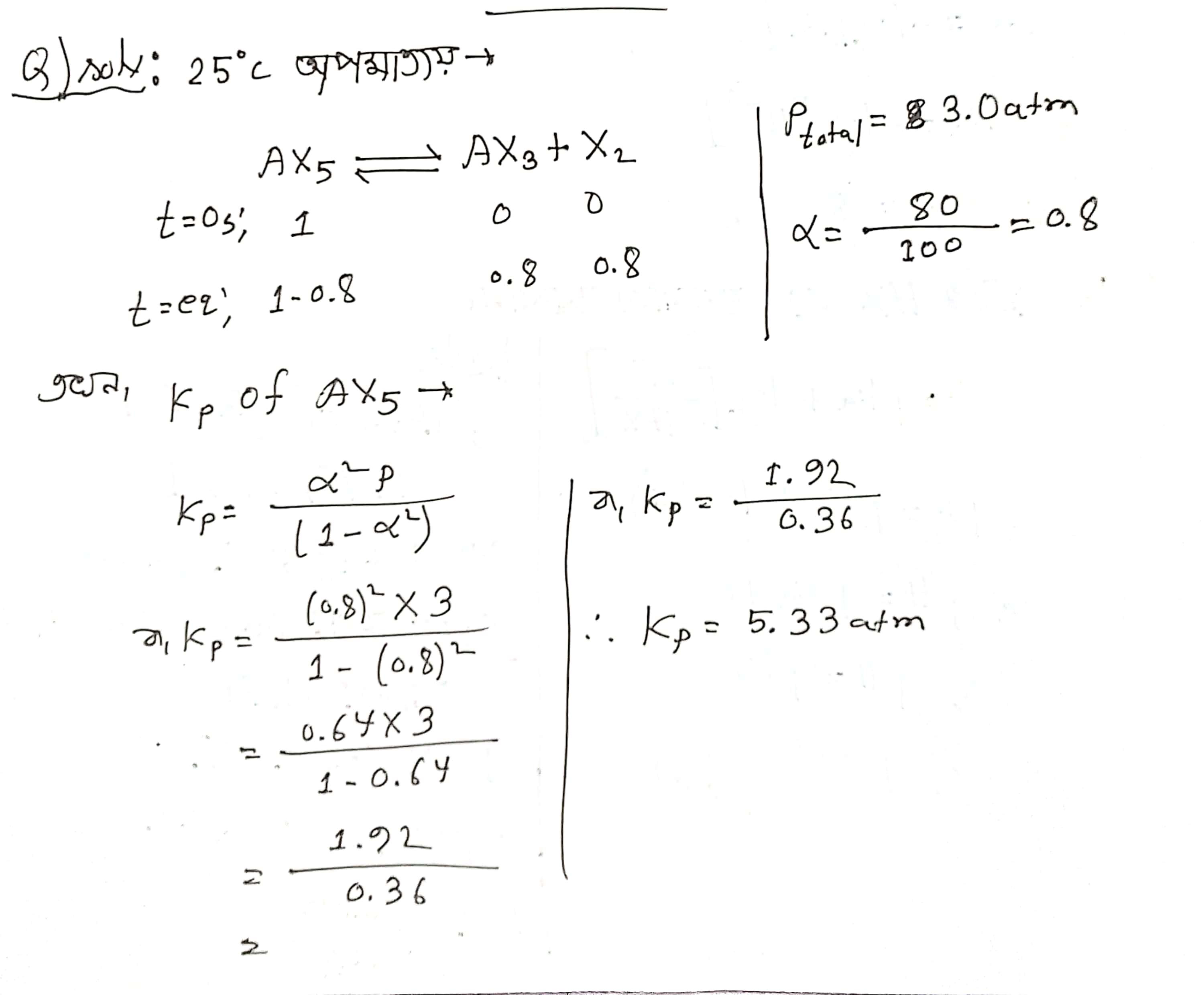
25°C তাপমাত্রায় ও 3.0 atm চাপে AX5 80% বিয়োজিত হয়ে AX3 এবং X₂ উৎপন্ন করলে বিক্রিয়াটির K, কত?

Ai এর মাধ্যমে
১০ লক্ষ+ প্রশ্ন ডাটাবেজ
প্র্যাকটিস এর মাধ্যমে নিজেকে তৈরি করে ফেলো
উত্তর দিবে তোমার বই থেকে ও তোমার মত করে।
সারা দেশের শিক্ষার্থীদের মধ্যে নিজের অবস্থান যাচাই
No related questions found